IJA-2015v5n5 - page 10

International Journal of Aquaculture, 2015, Vol.5, No.5, 1
-
9
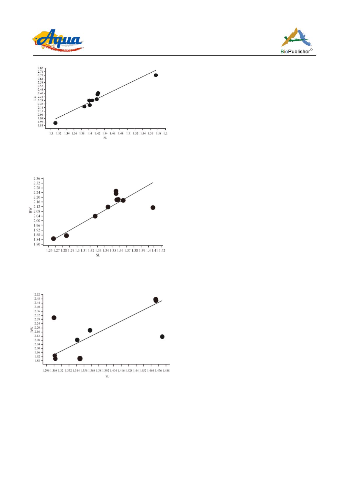
Figure 5a Regression graph of length-weight relationship for
H.
vittatus
showing the regression equation (Log
10
W = 0.48967729 +
(-2.0794) Log
10
SL) equal to W = 3.088 L
-2.079
; r
2
= 0.923
Figure 5b Regression graph of length-weight relationship for
H.
brevis
showing the regression equation (Log
10
W = 0.53795754 +
(-2.5335) Log
10
SL) equal to W =
3.451
L
-2.534
; r
2
= 0.664
Figure 5c Regression graph of length-weight relationship for
H.
forskalii
showing the regression equation (Log
10
W = 0.47684611 +
(-1.9815) Log
10
SL) equal to W =
2.9981
L
-1.9815
; r
2
= 0.418
the observations of
Bailey (1994) that
H.
brevis
has
the deepest body compared to
H. vittatus
and
H.
forskalii
, but opposite to Boulenger (1909) and
Sandon (1950), who reported
H. forskalii
to have the
deepest body.
Boulenger (1909) and Sandon (1950) stated that the
position of the dorsal fin was below or slightly behind
the ventral in
H. vittatus
; directly below the ventral in
H. brevis
and in advance the ventral in
H. forskalii
.
(Paugy et al., 2003) recoded the origin of dorsal-fin at
same level as, or slightly before the ventral-fin
insertions for
H. vittatus
; dorsal-fin origin at the same
level as, or slightly ahead the level of pelvic-fin
insertions in
H. brevis
and distinctly before the level
of pelvic-fin insertions in
H. forskalii
. In the present
study the position of the dorsal fin was found to be
distinctly before the insertion of ventral fin in
H.
vittatus
, slightly behind the insertion of ventral fin in
H. brevis
and directly below or slightly behind the
insertion of ventral fin in
H. forskalii
. The head width/
head length ratio of
H. vittatus
was smaller compared
to the ratios of the other two species, but the
CPL/CPD ratio of the three species was equal. Eye
diameter was about 77% of interorbital width in
H.
brevis
and
H. forskalii
, but at least 80% of inter-orbital
width in
H. vittatus.
(Paugy et al., 2003) recorded eye
diameter less than 60% of interorbital width in
H. brevis
,
and at least 70% in
H. vittatus
and
H. forskalii
. In the
present study
H. vittatus
was found to have (47 - 58)
scales in the lateral line (LLS),
H. brevis
(51 - 65) and
H. forskalii
(48 - 62). Boulenger (1909) and Sandon
(1950) recorded (44 - 48), (47 - 54) and (48 - 54) scales in
lateral line of the three species, respectively, and
(Paugy et al., 2003) recorded 43-53 lateral line scales for
H. vittatus
, 47-55 for
H. brevis
and 47-54
for
H. forskalii
.
The values of the regression coefficients (
b
= -2.0794,
-2.5335 and -1.9815) indicated allometric growth of
the three species; that is growth in which each part of
the body grows with changing proportions. The high
value of regression coefficient for the pooled data of
H. vittatus
indicated a strong positive correlation
between the standard body length and the body weight,
where the weight increased with increasing body
length. There was a medium correlation in
H. brevis
and weak in
H. forskalii
.
The morphological results obtained in the present
study indicated that a combination of morphological
characters can be used to separate the three species of
the genus
Hydrocynus
. They may also be easily
distinguished by the dimensions of the head, where
H.
vittatus
has the longest head (HL) and higher HW/HL
compared to the other species. The further distinctive
features are the position of the dorsal fin compared to
insertion of the ventral; the black-edge of the dorsal
7
1,2,3,4,5,6,7,8,9 11,12,13,14
Powered by FlippingBook