IJH-2015v5n15 - page 6

International Journal of Horticulture 2015, Vol.5, No.15, 1
-
6
2
almond cultivars under North West Himalaya region
of India. The Research farm at Srinagar is situated at a
latitude of 34°05'N and longitude of 74°50'E and at
an altitude of 1640 m above msl. The soils of this
experimental field are silty loam (39.60 % sand,
24.0 % Silt and 36.40 % clay; 7.5 soil pH, 0.50 % soil
organic carbon, 462 kg N/ha, 9.59 kg P/ha and 279 kg
K/ha) with poor drainage. The treatment comprised of
nine almond cultivars such as Makhdoom, Waris,
Shalimar, Non Pareil, IXL, Pranyaj, Primorkij,
Merced and California Paper shell have been laid out
in randomised block design with three replications and
two plants/replications/treatments as plant unit. These
cultivars planted at 4x4m spacing in an experimental
field during 2002-03.
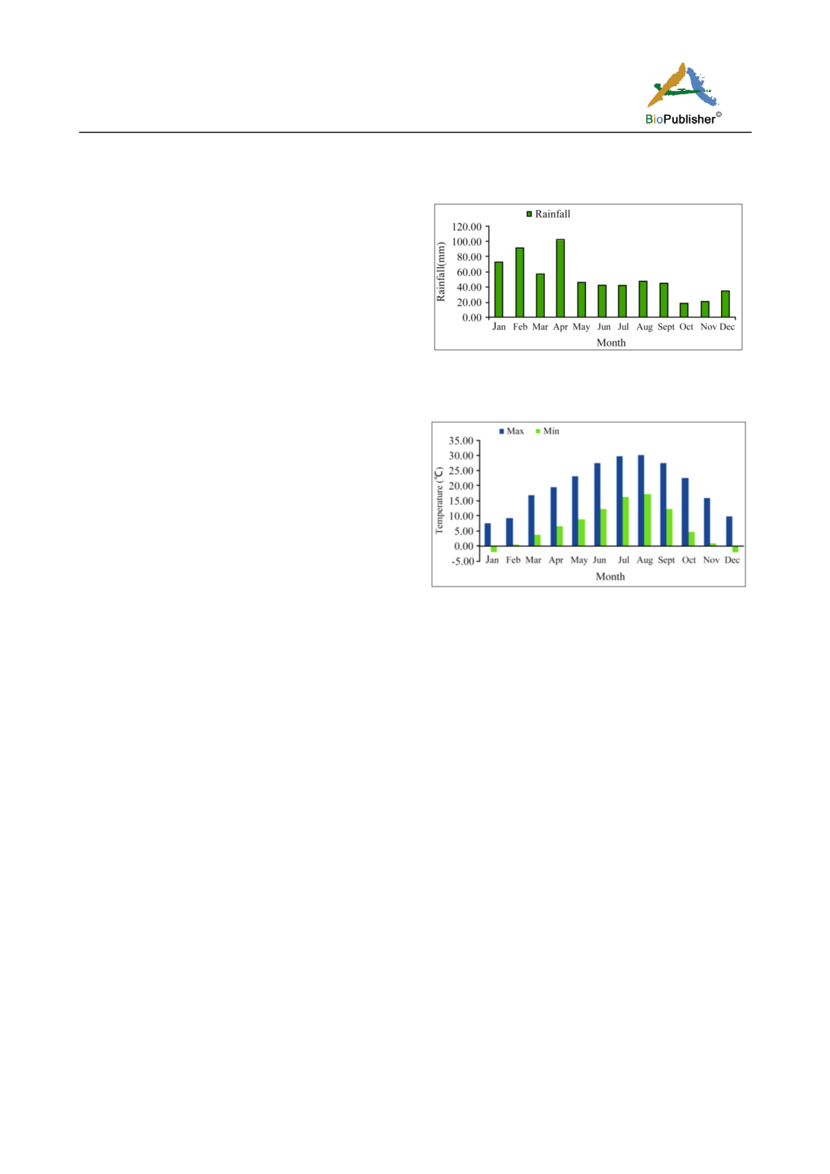
Climatic conditions
The experimental farm falls under temperate region
having cold conditions from November to February
and four year mean maximum and minimum temperature
of Srinagar climate indicated that maximum 30
°
C in
August and minimum -2.1
°
C in December month
(Figure 1). The mean annual precipitation is 620 mm
distributed erratically throughout the year (Figure 2).
Measurements and observations
The plants were given uniform cultural treatment and
irrigated through drip irrigation on daily basis during
summer. Canopy volume (CV) was estimated for each
individual tree using a geometrical model referred to
as the “contour method” (CV = [(1⁄4) π a b h) / (m(x)
+ m(y) + 1]. The dimensions a and b were measured
of the width of the tree at the base of the canopy,
perpendicular and parallel to the tree row orientation,
respectively. The height of the canopy (h) was
measured from the lowest branch to the apex. The
functions m (x) and m(y) were derived to accommodate
the contour of the tree (Wright et al., 2005). Canopy
volume measurements were made after harvest in
October 2009 to 2012. Tree trunk girth was recorded
before the execution and at the end of experiment
during both the years of study. A ring was made with
red paint at a height of 15 cm above the ground level
in each selected tree to record the trunk girth from
same point each year. The trunk cross-sectional area
(TCSA) of tree was calculated by using formula
TCSA= Girth
2
/4 л
.
Fruit was harvested at maturity,
hulled, dried and nut weight in gram and yield per tree
was recorded in kilogram. Nut and kernel size was
determined by observing the length and diameter was
measured by Vernier caliper and thickness of shell was
measured by Screw gauge and both were expressed in
Figure 1 Mean monthly rainfall (2009 to 2012)
Figure 2 Mean maximum and minimum temperature (2009 to
2012)
millimetre. The data over four years of experimentations
were analyzed statistically as per Steel and Torrie
(1986) for interpretation of results and drawing
conclusions.
Results and Discussion
Plant growth
The Trunk cross sectional area (TCSA) of tree ranged
from 95 to 152.02 with standard deviation (21.02) and
coefficient of variations (16.88) in different cultivars
of almond (Table 2). The TCSA increases with increasing
the age of the tree in almond (Figure 3). Significantly
maximum TCSA (111.47 cm
2
and 141.22 cm
2
) were
recorded in Non Pareil cultivar of almond closely
followed by Pranyaj (111.12 cm
2
and 135.22 cm
2
) in
2009-10 and 2010-11. Whereas, 2011-12 and 2012-13,
Waris cultivar registered highest TCSA (181.85 cm
2
and 186.45 cm
2
) in almond. The canopy volume of
tree is one of the important parameters to differentiate
the almond cultivar. It ranged (8.55-11.53) with mean
(9.92) and coefficient of variation (10.10) in almond.
The canopy volume also increases with increasing the
1,2,3,4,5 7,8,10-11,12,13,14
Powered by FlippingBook