Page 9 - IJA2014v4n23

Basic HTML Version

International Journal of Aquaculture, 2014, Vol.4, No.24 1
-
8
http://ija.biopublisher.ca
4
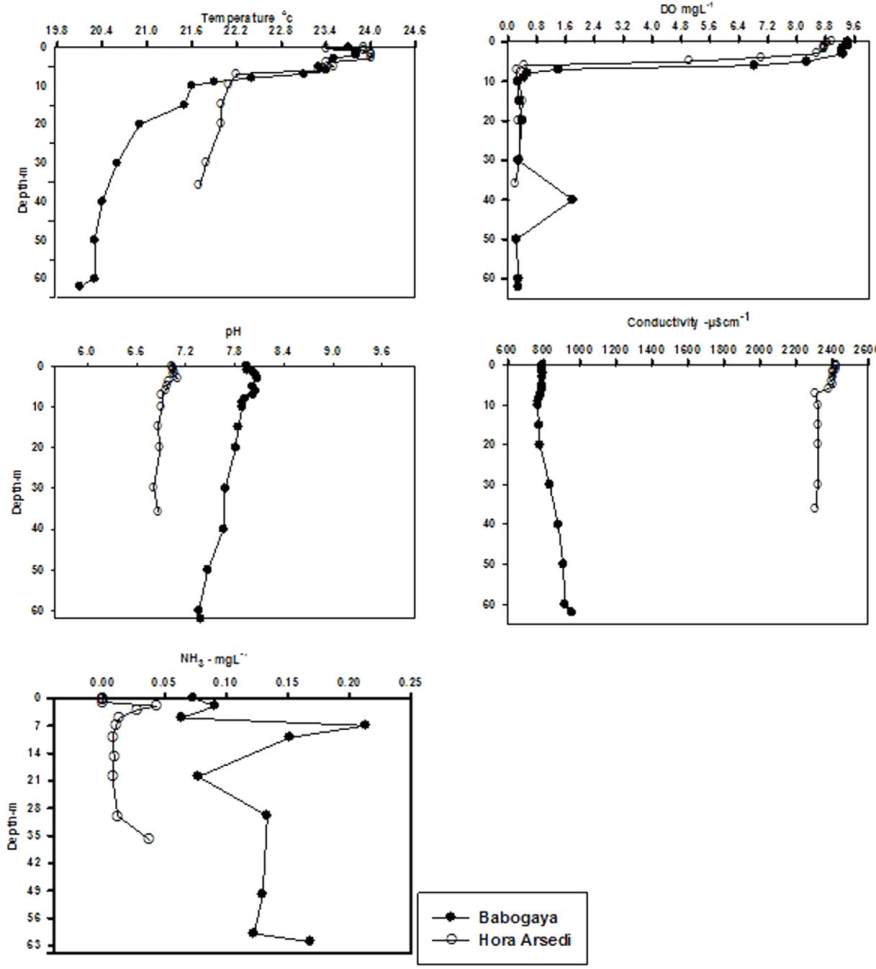
Figure 2 Vertical profile of some selected physico-chemical parameters in lakes Babogaya (closed circle) and Hora-Arsedi (open
circle) during the study periods
Planktonic examination
Five phytoplankton groups were identified during the
sampling period including Cyanobacteria, Bacillariophyta,
Dinophytes, Euglenophytes, and Chlorophytes. The
Cyanophyta
microcystis aeruginosa
dominated the
phytoplankton community in both lakes along with
Anabaenna
sp.,
Pseudoanabaenopsis
sp.,
Oscillatoria
sp. and
Aphanocapsa
sp. The rest were represented by
one species indicating very low phytoplankton
diversity particularly in Babogaya (Table 2).
Zooplankton from lakes Babogaya and Hora-Arsedi
included a total of 11 taxa of which 8 belonged to
rotifers and 3 crustacean taxa (Table 2). Rotifers
were found to be the most abundant group in
Babogaya, and copepods co-dominated in
Hora-Arsedi. There were no common species
identified in both lakes. The genus
Brachionus
from
rotifers and
Mesocyclops
sp. from copepods were
the dominant taxa while the cladocerans were only
represented by
Cerodaphnia cornussa.