Tree Genetics and Molecular Breeding - page 6

Tree Genetics and Molecular Breeding 2015, Vol.5, No.1, 1
-
8
3
A comparison of the polyclonal seedling trees to the
multiclonal population comprising of RRII 105,
RRIM 600 and GT1 revealed that seedling population
was more heterogeneous with respect to yield, girth
and other secondary characters. Growth in
Hevea
brasiliensis
is considered as an important criterion for
assessing the age of attaining tappability and of timber
value (Hashim and Aziz, 1994). The polyclonal
seedlings attained tappable girth by the eighth year,
while the multiclonal plantation only by the ninth year.
Girth at the opening of tapping and percent tappability
was higher among polyclonal population (50.41 cm,
54.38 %, respectively) than the multiclonal population
(40.50 cm, 23.30 % respectively). The annual girth
increment recorded was also higher in the seedling
population (Table 1).
Mean annual rubber yield over five years in
polyclonal seedlings was high as 34.02 g t̵
ˡ t̵
ˡ, than
that of multiclonal population 25.10 g t̵
ˡ t̵
ˡ (Table 1).
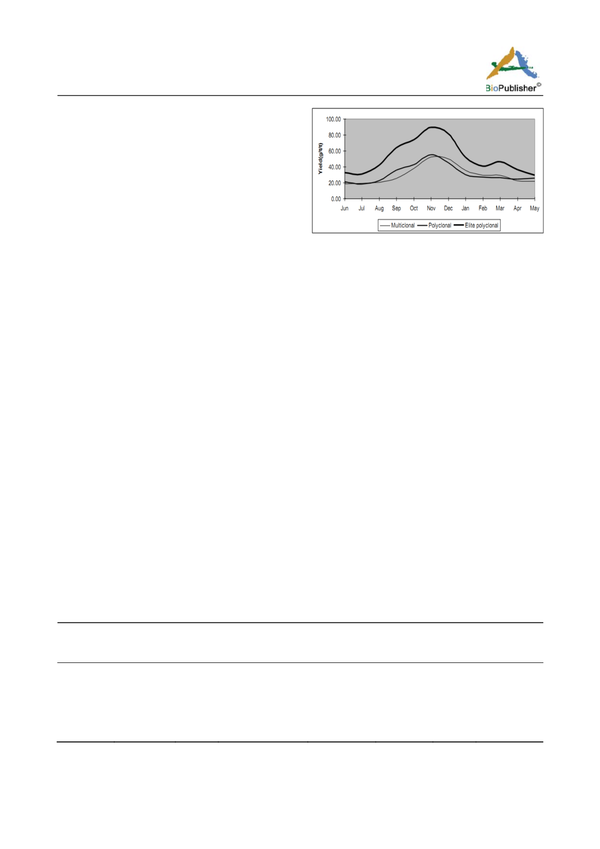
Monthly rubber yielding pattern of the seedling
population was compared with multiclonal population.
The performance of the polyclonal seedlings base
population was comparable to multiclonal population.
Interestingly, polyclonal trees maintained comparatively
high yield in the summer months (Figure 2). The
better yield during stressful month further supports
good adaptability and higher yield attributes of
polyclonal seedlings under stressed environment. The
variability in yield observed in this study is
comparable to the results reported for the trees raised
from seeds in dry sub humid conditions
(Chandrasekhar et al., 2002; Krishan, 2013).
The damage due to wind was low (2.72%) in the
seedling population, compared to the multiclone
population (3.91%). No uprooting of seedling trees
Figure 2 Rubber yield trend of multiclonal population,
polyclonal population and polyclonal elite trees over five year
period
was recorded which might be due to comparatively
strong deep tap root system. Polyclonal population
was found least effected by tapping panel dryness as
compared to multiclonal population (Table 1).
Bark thickness is an important feature as thick bark
minimize wounding incidence, which is known to
affect yield productivity on latter panels (Goncalves et
al., 2006). Bark thickness was reported higher among
polyclonal seedlings (10.16 mm) as compared to
multiclonal population (9.23 mm) (Table 1).
Clear bole volume is an important indicator of the
timber yield (Najib et al., 1995). Polyclonal seedling
population was having significantly higher bole
volume of 0.27 m³/tree in camparison to 0.08 m³/tree
in multiclonal population (Table 2). The mean height
at forking was also recorded higher in polyclonal
population (4.5 m) against the multiclonal population
(3.0 m). However, the number of primary branches
was found less as compared to multiclonal population
(Table 2). The primary branch contributes a significant
role in the formation of canopy and plays an important
role in wind resistance.
Table 1 Comparative performance of polyclonal seedlings with multiclonal population
Population
Girth (cm)
At opening
Tappability
(%)
Annual girth
increment (cm)
Till opening of tapping
Bark thickness
(mm)
20 years growth
Mean Annual
yield (g t
-1
t
-1
)
Wind
Damage
(%)
Tapping panel
dryness (%)
Polyclonal
seedlings
50.41
54.38
5.95
10.16
34.02
2.72
4.90
Multiclonal
population
40.50
23.30
3.90
9.23
25.10
3.91
8.23
Coefficient
variation
15.41
56.58
29.43
6.73
21.38
25.38
35.86
1,2,3,4,5 7,8,9,10,11,12
Powered by FlippingBook