Triticeae Genomics and Genetics - page 4

Triticeae Genomics and Genetics 2015, Vol.6, No.1, 1-3
1
A Letter Open Access
Lalmi 04
-
ANew Rainfed Wheat Variety for Afghanistan
M. Qasem Obaidi
1
, M. HashimAzmatyar
1
, Elias Mohmand
2
, Assadullah Habibi
3
, Abdul Qayum
2
, Rajiv Sharma
2
1. Agricultural Research Institute of Afghanistan, Kabul, Afghanistan
2. International Maize and Wheat Improvement Centre (CIMMYT), Kabul, Afghanistan
3. Food and Agriculture Organization, Kabul, Afghanistan
Corresponding author email: Email:
Triticeae Genomics and Genetics, 2015, Vol.6, No.1 doi: 10.5376/tgg.2015.06.0001
Received: 04 Feb., 2015
Accepted: 23 Mar., 2015
Published: 27 Mar., 2015
Copyright
©
2015
Obaidi et al., This is an open access article published under the terms of the Creative Commons Attribution License, which permits unrestricted
use, distribution, and reproduction in any medium, provided the original work is properly cited.
Preferred citation for this article:
Obaidi et al., 2015, Lalmi 04 - A new rainfed wheat variety for Afghanistan, Triticeae Genomics and Genetics, Vol.6, No.1 1
-
3 (doi:
10.5376/tgg.2015.06.0001
)
Abstract
A new rainfed wheat variety Lalmi 04 has been released in Afghan from out of the genotypes introduced through 14
th
Semi-Arid Wheat Yield Trial of CIMMYT in 2006. The variety was tested in a total of eight yield evaluation trials over a period of
four years and gave more than 10% higher yield than the check variety Lalmi 02. The released variety showed a yield potential of
6836 kg/ha and an average yield of 3826 kg/ha. Lalmi 04 had an average 1000 grain weight of 44 grams and matured in 179 days.
The variety has an erect flag leaf and grew to a height of 88 cm. The variety was resistant to all the rusts in Afghanistan under natural
conditions.
Keywords
Afghanistan; Wheat; Rainfed; Variety
Introduction
Wheat is the most important food crop of Afghanistan
occupying about 80% of total cereal area in the
country (APR, 2014). The country does not have a
consistent wheat production record as about 55% of
the total wheat acreage depends on rains which have
been erratic and insufficient during many years in
recent past. Afghanistan harvested its highest wheat
harvest of 5.3 million tonnes in 2014 and a slightly
less of about 5.1 million tonnes in 2009 and 2013
owing mainly to good rains. Irrigated wheat domain is
a more assured supplier of wheat in Afghan
agriculture and contributed 70 to 90% of total wheat
production during last many years (Waziri et al., 2013).
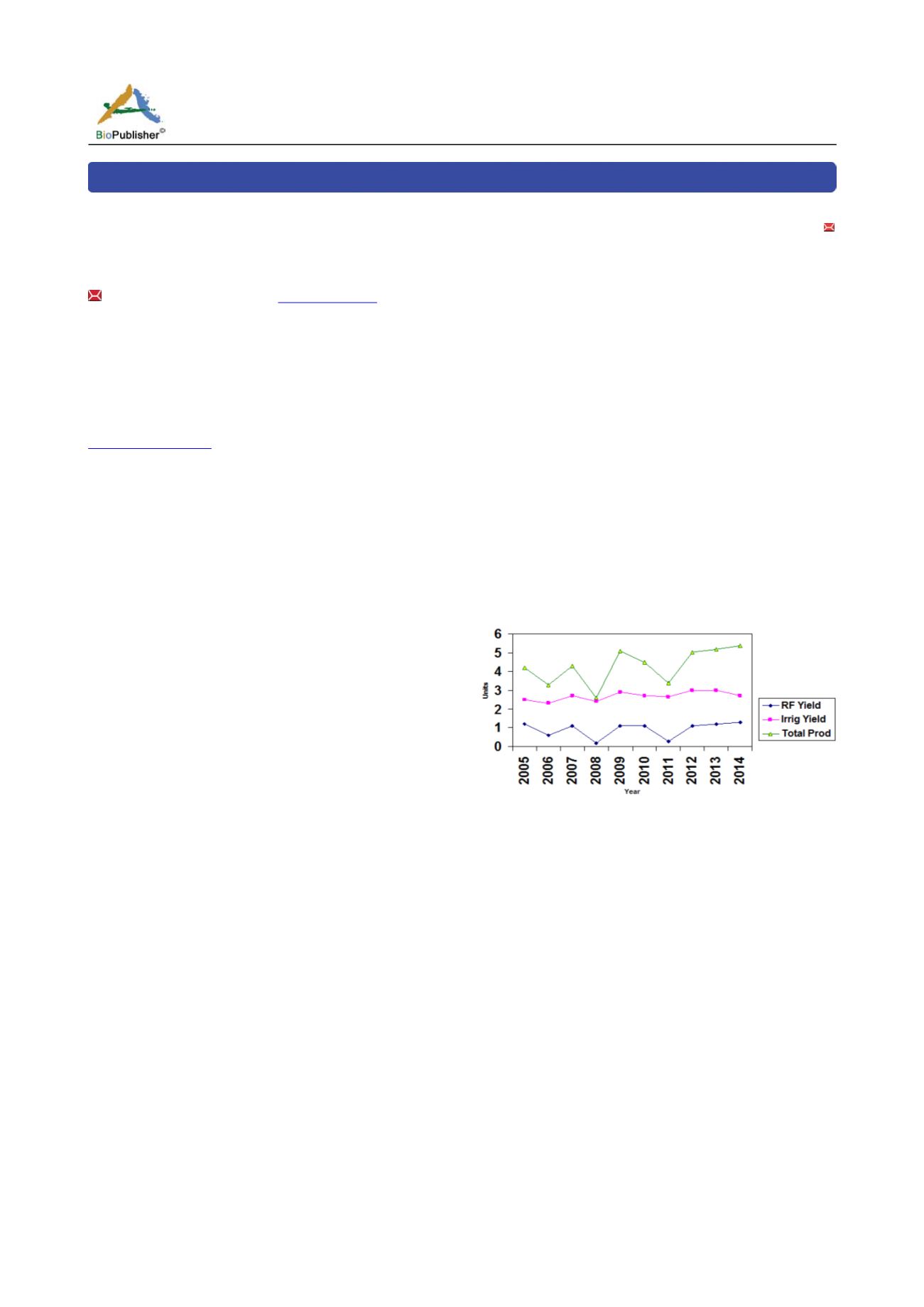
Figure 1 shows how country’s wheat harvest
fluctuates when rainfed wheat falters. However,
rainfed wheat as such faces a number of constraints
that render its cultivation prone to risk. Lack of
sufficient number of improved high yielding disease
resistant varieties is one of the reasons. The poor yield
levels and opportunistic nature of rainfed wheat shies
away rainfed wheat farmers from investing in its
cultivation. The country currently has about 16
irrigated wheat varieties in seed chain compared to
only three for rainfed wheat. Interestingly these three
varieties, catering to 55% of acreage, account only for
33% of total certified seed production plan. Another
Figure 1 Total production (million tonnes), and rainfed and
irrigated yield (tonnes/ha) for last few years in Afghanistan
alarming situation has been the emergence of new
yellow rust races to which important rainfed wheat
variety viz., Ghori 96 has become susceptible
(Zamarai et al., 2013) further denting the availability
of new certified seed to rainfed wheat farmers.
CIMMYT in association with national agricultural
research system represented by Agricultural Research
Institute of Afghanistan (ARIA) routinely introduces
large number of new high yielding and disease
resistant rainfed wheat genotypes into the country and
jointly test their suitability for Afghanistan in
multilocation yield evaluation trials. Based on the
results of these trials and on ARIA’s proposal, the
Ministry of Agriculture, Irrigation & Livestock
(MAIL) of the Government of Islamic Republic of
Afghanistan (GIRoA) has recently released a new
1,2,3 5,6
Powered by FlippingBook